Ответы
Ответ дал:
0
===================================================
Приложения:

Ответ дал:
0
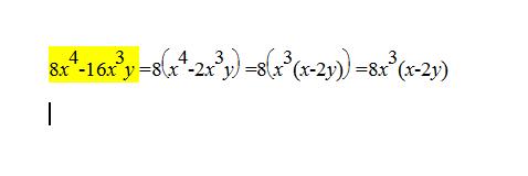
8х(4степень)-16х(3степень)у=8х(3степень)(х-2у)
Приложения:

Вас заинтересует
2 года назад
2 года назад
8 лет назад
8 лет назад
10 лет назад
10 лет назад
10 лет назад