• Предмет: Математика
  • Автор: makasinas
  • Вопрос задан 10 лет назад

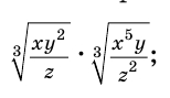
Помогите упростить....

Приложения:

Ответы

Ответ дал: Dushzhanov987
0

Надеюсь тут будет понятнее
Приложения:
Ответ дал: makasinas
0
можно просто сделать скрин рабочего стола. для этого нужно выйти на робочий стол и нажать на клавитуре кнопку "prtsc sysrq".. потом зайти в Paint нажть вставить картинку и сохранить. и всё.
Ответ дал: Dushzhanov987
0
в лс никак
Вас заинтересует