Помогите пожалуйста построить блок-схему (используя цикл).
K = f^5 при f = exp^x+1. Нужно построить программу и подпрограмму.
Ответы
Ответ дал:
0
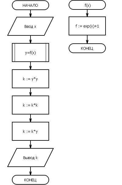
function f(x: real): real;
begin
f := exp(x) + 1
end;
var
x, y, k: real;
begin
Write('Введите значение х: ');
Readln(x);
y := f(x);
k := sqr(y); k := sqr(k); k := k * y;
Writeln('K=', k)
end.
Тестовое решение:
Введите значение х: 3.254
K=14068682.0850544
begin
f := exp(x) + 1
end;
var
x, y, k: real;
begin
Write('Введите значение х: ');
Readln(x);
y := f(x);
k := sqr(y); k := sqr(k); k := k * y;
Writeln('K=', k)
end.
Тестовое решение:
Введите значение х: 3.254
K=14068682.0850544
Приложения:
Вас заинтересует
3 года назад
3 года назад
8 лет назад
8 лет назад
10 лет назад
10 лет назад
11 лет назад
11 лет назад