• Предмет: Алгебра
  • Автор: icevera
  • Вопрос задан 10 лет назад

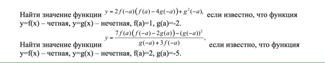
Найдите значение функции

Приложения:

Ответы

Ответ дал: Rechnung
0
................................
Приложения:
Вас заинтересует