дина наташа и анель вызвались переплести книги в школьный библиотеке Они разделили поровну все книги которые должны В первый день анель переплела половину всех книг, которые она должна переплести ,и еще 3 книги Во второй день Анель переплела половину оставшихся книг и еще 5 книг После этого ей осталось переплестти 7 книг
Сколько всего книг переплели девочки ?
Сколько книг переплела анель в первый день ?
Сколько книг переплела анель во второй день?
решение задачи уравнением
Ответы
Ответ дал:
0
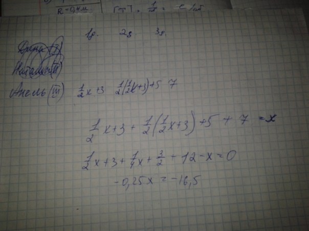
я решила так(см в приложении)
получается 66 книг анель переплела в общем за 3 дня,поэтому 66*3=198книг переплили все девочки вместе
в первый день анель переплила 0,5*66+3=36 книг
во 2-ой день анель переплила 0,5*36+5=23 книги
получается 66 книг анель переплела в общем за 3 дня,поэтому 66*3=198книг переплили все девочки вместе
в первый день анель переплила 0,5*66+3=36 книг
во 2-ой день анель переплила 0,5*36+5=23 книги
Приложения:
Вас заинтересует
3 года назад
3 года назад
8 лет назад
10 лет назад
10 лет назад
11 лет назад