• Предмет: Алгебра
  • Автор: WarHeart
  • Вопрос задан 10 лет назад

Решите на отдельном листочке
Кароче нужно решение

Приложения:

Ответы

Ответ дал: NNNLLL54
0
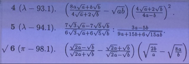
(frac{8asqrt{a}+bsqrt{b}}{4sqrt{a}+2sqrt{b}}-sqrt{ab})(frac{4sqrt{a}+2sqrt{b}}{4a-b})^2=(frac{(2sqrt{a})^3+(sqrt{b})^3}{2(2sqrt{a}+sqrt{b})}-sqrt{ab})(frac{2(2sqrt{a}+sqrt{b})}{(2sqrt{a})^2-(sqrt{b})^2})^2 =\\=frac{(2sqrt{a}+sqrt{b})(4a-2sqrt{ab}+b)-2sqrt{ab}(2sqrt{a}+sqrt{b})}{2(2sqrt{a}+sqrt{b})}cdot frac{4(2sqrt{a}+sqrt{b})^2}{(2sqrt{a}-sqrt{b})^2(2sqrt{a}+sqrt{b})^2}=\\=(4a-2sqrt{ab}+b-2sqrt{ab})cdot frac{2}{(2sqrt{a}-sqrt{b})^2}=

=frac{2(4a-4sqrt{ab}+b)}{(2sqrt{a}-sqrt{b})^2}=frac{2(2sqrt{a}-sqrt{b})^2}{(2sqrt{a}-sqrt{b})^2}=2

2); frac{7sqrt3sqrt{a}-7sqrt5sqrt{b}}{6sqrt3sqrt{a}+6sqrt5sqrt{b}}:frac{3a-5b}{9a+15b+6sqrt{15ab}}=frac{7(sqrt{3a}-sqrt{5b})}{6(sqrt{3a}+sqrt{5b})}cdot frac{3(3a+2sqrt{15ab}+5b)}{(sqrt{3a})^2-(sqrt{5b})^2}=\\=frac{7(sqrt{3a}-sqrt{5b})cdot (sqrt{3a}+sqrt{5b})^2}{2(sqrt{3a}+sqrt{5b})(sqrt{3a}-sqrt{5b})(sqrt{3a}+sqrt{5b})}=frac{7}{2}

3); (frac{sqrt{2a}-sqrt{b}}{sqrt{2a}+sqrt{b}}-frac{sqrt{2a}+sqrt{b}}{sqrt{2a}-sqrt{b}})(sqrt{frac{2b}{a}}-sqrt{frac{8a}{b}})=\\=frac{(sqrt{2a}-sqrt{b})^2-(sqrt{2a}+sqrt{b})^2}{(sqrt{2a}+sqrt{b})(sqrt{2a}-sqrt{b})}cdot frac{sqrt{2b}sqrt{b}-sqrt{8a}sqrt{a}}{sqrt{ab}}=\\=frac{-4sqrt{2ab}}{2a-b}cdot frac{sqrt2b-2sqrt2a}{sqrt{ab}}=frac{-4sqrt2}{-(b-2a)}cdot frac{sqrt2(b-2a)}{1}=4cdot 2=8
Вас заинтересует