Ответы
Ответ дал:
0
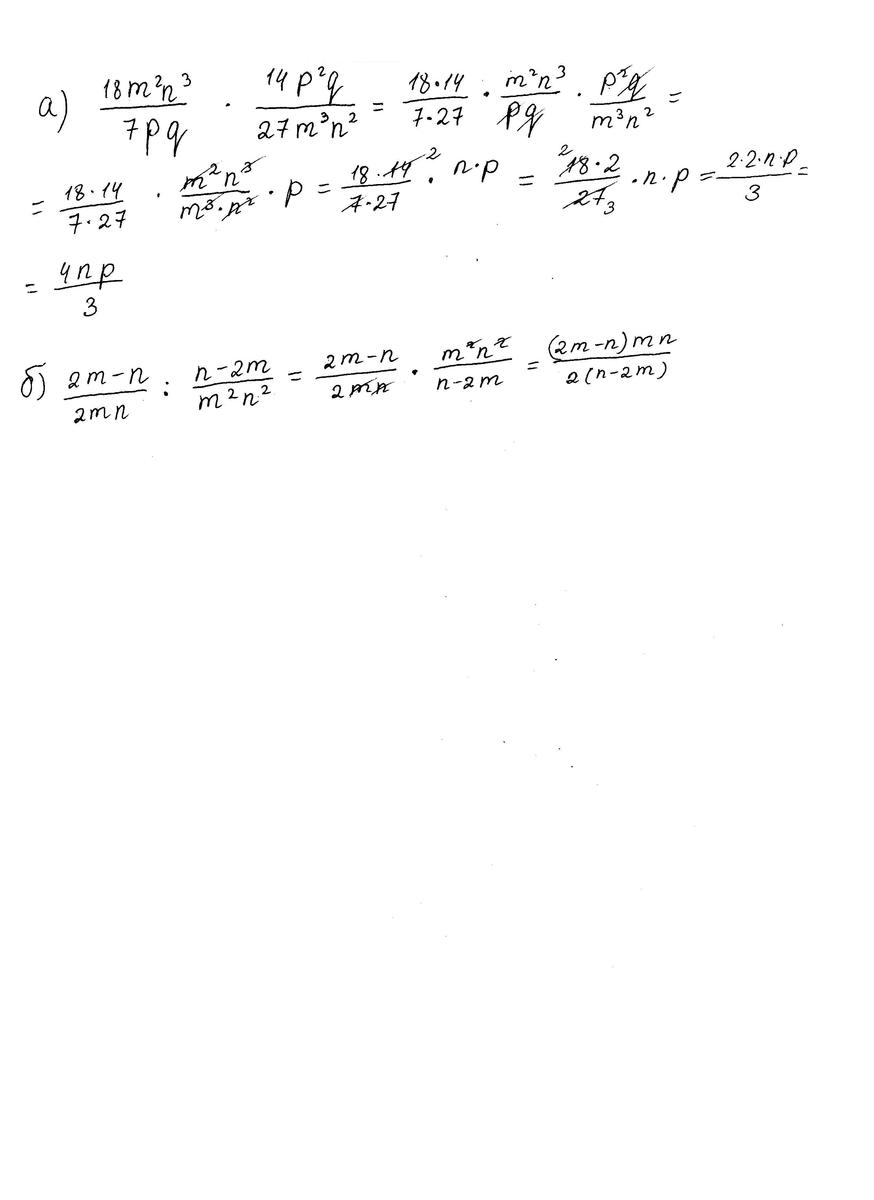
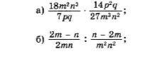
Смотри во вложении. Должно быть понятно
Приложения:

Вас заинтересует
2 года назад
7 лет назад
7 лет назад
10 лет назад
10 лет назад