• Предмет: Алгебра
  • Автор: JenДарк
  • Вопрос задан 10 лет назад

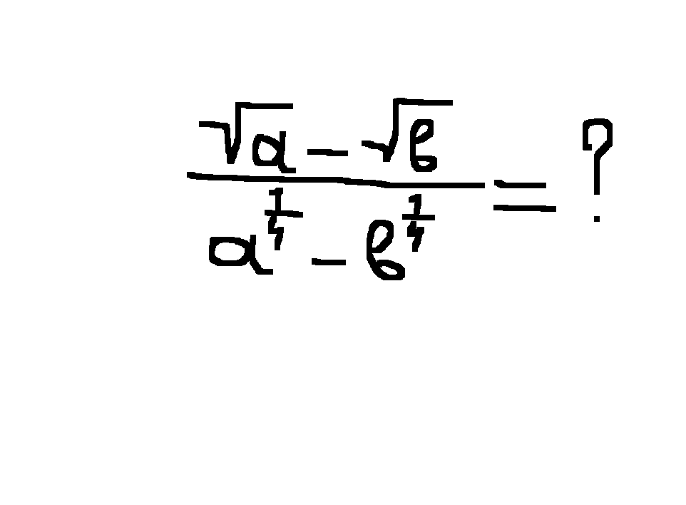
Сократите дробь:  sqrt{а} - sqrt{б} / а ₁/₄-б₁/₄

Приложения:

Ответы

Ответ дал: Ensider
0
Возводишь знаменательв квадрат  а числитель делаешь как 1/2 в степени.
Вас заинтересует