• Предмет: Информатика
  • Автор: sandraukraine
  • Вопрос задан 10 лет назад

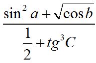
Распишите пожалуйста в паскале следущее:

Приложения:

Ответы

Ответ дал: Andrey05
0
Готово...................
Приложения:
Ответ дал: sandraukraine
0
Когда ввожу все, пишется в power неизвестный индефикатор
Ответ дал: Andrey05
0
Заменил программу ,пробуйте
Ответ дал: sandraukraine
0
теперь в (в скобках ) (sin(a)*sin(a)+sqrt(cos(b)))/(0.5+ "tan" (c)*tan(c)*tan(c))) неизвестный индефикатор
Вас заинтересует