Ответы
Ответ дал:
0
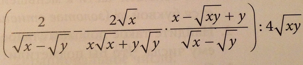
1)2√x/(√x+√y)(x-√xy+y)*(x-√xy+y)/(√x-√y)=2√x/(x-y)
2)2/(√x-√y) -2√x/(√x-√y)(√x+√y)=(2√x+2√y-2√x)/(x-y)=2√y/(x-y)
3)2√y/(x-y):4√xy=2√y/(x-y)*4√xy=1/2√x(x-y)
2)2/(√x-√y) -2√x/(√x-√y)(√x+√y)=(2√x+2√y-2√x)/(x-y)=2√y/(x-y)
3)2√y/(x-y):4√xy=2√y/(x-y)*4√xy=1/2√x(x-y)
Вас заинтересует
3 года назад
3 года назад
8 лет назад
10 лет назад
11 лет назад