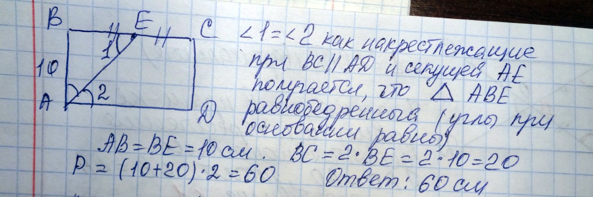
найдите периметр прямоугольника с меньшей стороны 10см,если биссектриса одного из его углов делит большую сторону пополам
Ответы
Ответ дал:
0
....................
Приложения:

Вас заинтересует
2 года назад
2 года назад
7 лет назад
7 лет назад
10 лет назад
10 лет назад