• Предмет: Математика
  • Автор: mimishka95
  • Вопрос задан 10 лет назад

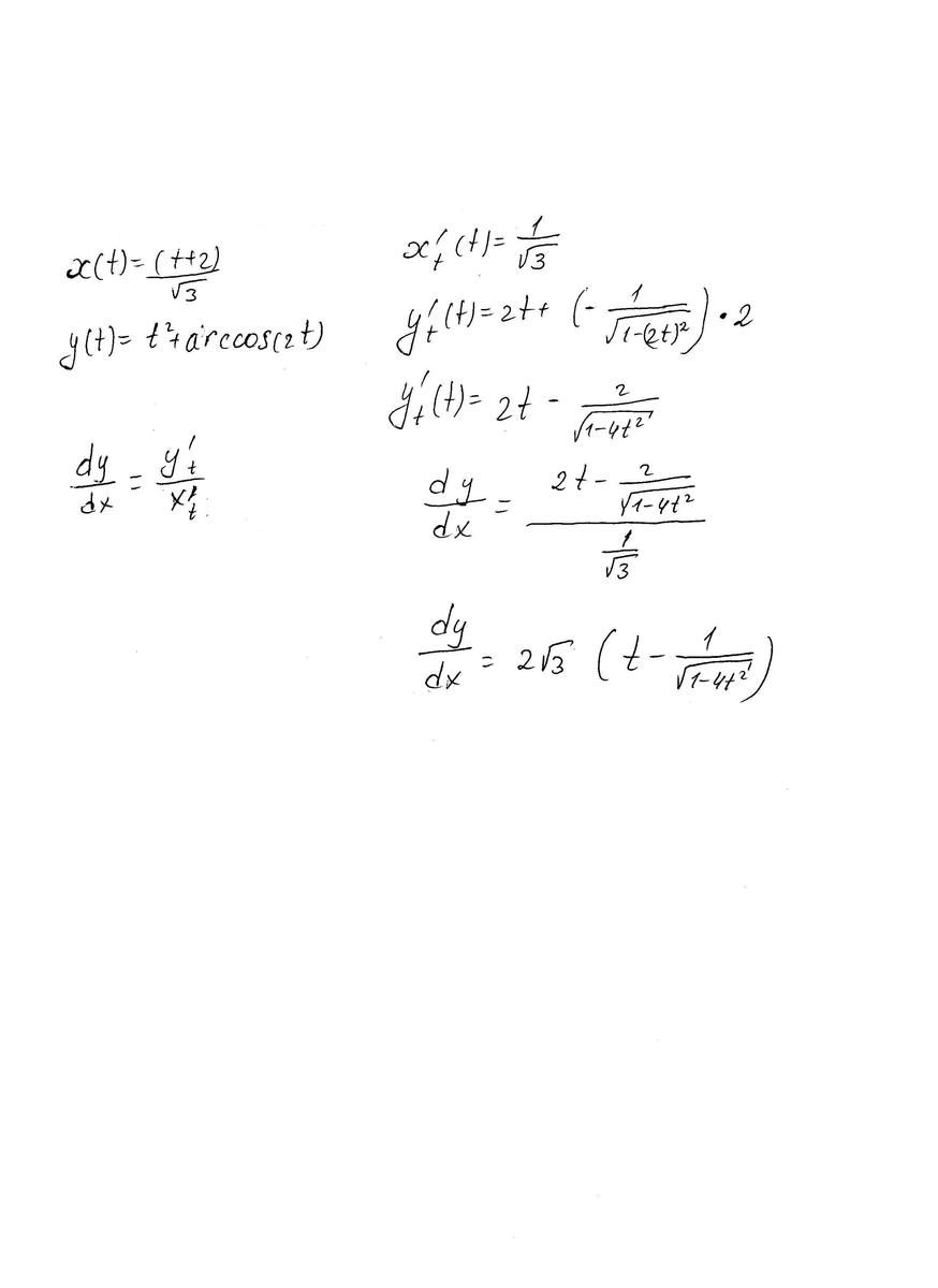
 Найти производную dy/dx   функции, заданной параметрически:   left { {{y=y(t)} atop {x=x(t)}} right.  
x(t)=(t+2)/√3
y(t)=t²+arccos2t

Ответы

Ответ дал: bearcab
0
Решение во вложении. Должно быть понятно
Приложения:
Вас заинтересует