Ответы
Ответ дал:
0
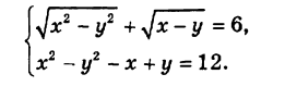
корень(x^2-y^2) = z >= 0
корень(x-y) = t >= 0
z+t=6
z^2-t^2=12
**********
z+t=6
z-t=2
**********
z=4
t=2
**********
z=4=корень(x^2-y^2)
t=2=корень(x-y)
**********
(x^2-y^2)=16
(x-y)=4
**********
(x+y)=4
(x-y)=4
**********
x=4
y=0
корень(x-y) = t >= 0
z+t=6
z^2-t^2=12
**********
z+t=6
z-t=2
**********
z=4
t=2
**********
z=4=корень(x^2-y^2)
t=2=корень(x-y)
**********
(x^2-y^2)=16
(x-y)=4
**********
(x+y)=4
(x-y)=4
**********
x=4
y=0
Вас заинтересует
3 года назад
8 лет назад
8 лет назад
11 лет назад
11 лет назад
11 лет назад