• Предмет: Алгебра
  • Автор: гульчатай
  • Вопрос задан 11 лет назад

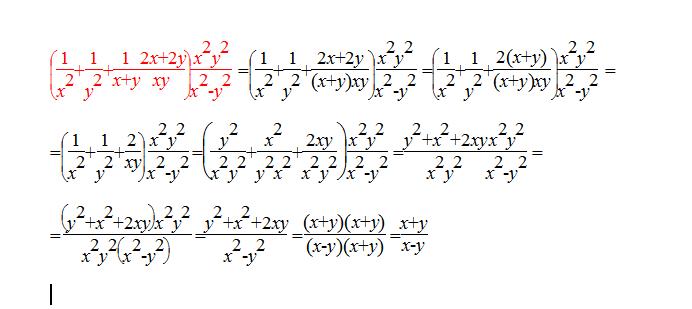
Упростите выражение:

(фото)

помогите пожалуйста!!!

Приложения:

Ответы

Ответ дал: triolana
0

====================================================

Приложения:
Ответ дал: Аноним
0

Упростите выражение
Решение: см. рис.

Приложения:
Вас заинтересует