• Предмет: Алгебра
  • Автор: мяуууу
  • Вопрос задан 10 лет назад

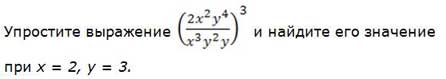
решите пожалуйста. до 13 октября))

Приложения:

Ответы

Ответ дал: lidiyasa1
0
Решение на фото. Удачи!
Приложения:
Вас заинтересует