• Предмет: Алгебра
  • Автор: КоСтЯнЧиК971
  • Вопрос задан 10 лет назад

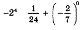
Маленький пример за 7 класс
Вроде должно получиться  frac{1}{3} (нужно решение)

Приложения:

Ответы

Ответ дал: glamour120
0
-2 в четвертой степени это -16, -2/7 в нулевой степени 1, отсюда следует -16/24+1=-2/3+1=-2/3+3/3=-1/3
Ответ дал: КоСтЯнЧиК971
0
Вот только без минуса
Вас заинтересует