• Предмет: Алгебра
  • Автор: AlenaSidney
  • Вопрос задан 10 лет назад

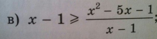
Решите пожалуйста неравенство...

Приложения:

Ответы

Ответ дал: Tsuckanovaniuta
0
(Х-1)^2>=х^2-5х-1
Х^2-2х+1>=х^2-5х-1
0>=-3х-2
2>=-3х
-2/3<=х
Вас заинтересует