• Предмет: Алгебра
  • Автор: xxxTigrxxx
  • Вопрос задан 11 лет назад

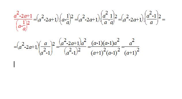
Упростите выражение:

 

frac {a^{2} -2a +1}{(a - frac {1}{a})^{2}}

Ответы

Ответ дал: triolana
0

=====================================

Приложения:
Вас заинтересует