• Предмет: Алгебра
  • Автор: ilyha1997
  • Вопрос задан 11 лет назад

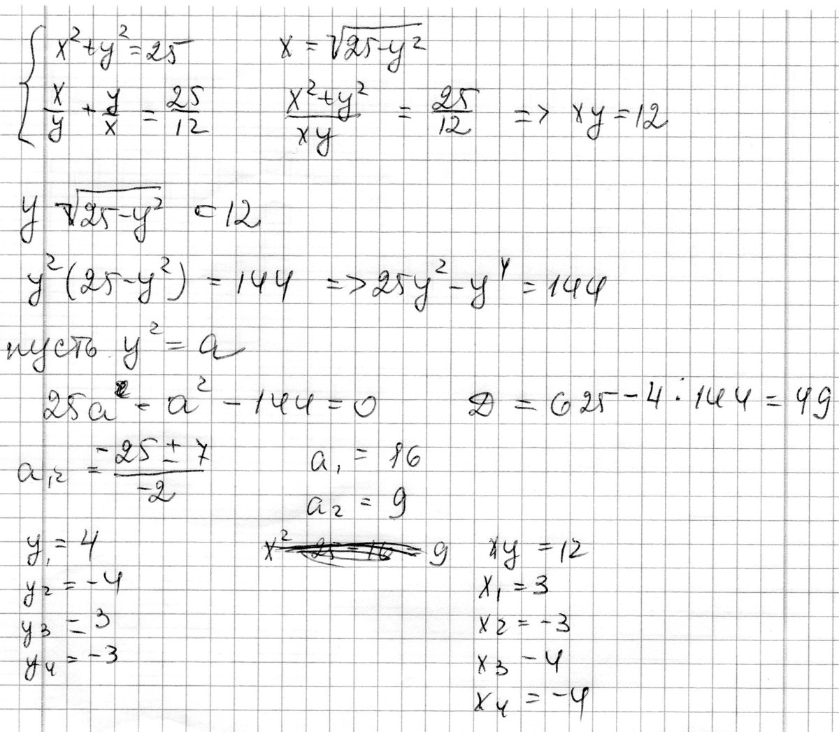
Сумма квадратов числителя и знаменателя некоторой дроби равна 25.Сумма этой дроби и обратной ей дроби равна 25/12.Найти дробь Помогите плиз

Ответы

Ответ дал: DominikUser3
0

пусть дробь равна х/у

тогда

х²+у²=25

х/у+у/х=25/12

остальное во вложении

дроби,что бы получили

3/4  или 4/3

Приложения:
Вас заинтересует