• Предмет: Алгебра
  • Автор: valipov
  • Вопрос задан 10 лет назад

Помогите решить!
Не хочу получить 2

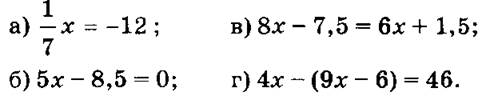
Приложения:

Ответы

Ответ дал: askadelya123
0
1)х=-84;2)5х=8,5;х=1,7;3)8х-7,5=6х+1,5;2х=9;4)4х-9+6=46;-5х=40;х=-8.
Ответ дал: valipov
0
Спасибо!
Вас заинтересует