Ответы
Ответ дал:
0
5)1/2(1-y) +5/4(y²+y+1)+3y/(1-y)(y²+y+1)=0
y≠1
2y²+2y+2+5-5y+12y=0
2y²+9y+7=0
D=81-56=25
y1=(-9-5)/4=-3,5
y2=(-9+5)/4=-1
6)(18z+7)/(z-1)(z²+z+1) -30/(z-1)(z+1)+13/(z²+z+1)=0
z≠1 z≠-1
18z²+18z+7z+7-30z²-30z-30+13z²-13=0
z²-5z-36=0
z1+z2=5 U z1*z2=-36⇒z1=-4 U z2=9
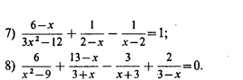
8)6/(x-3)(x+3) +(13-x)/(3+x)-3/(x+3)-2/(x-3)=0
6/(x-3)(x+3) +(10-x)/(3+x)-2/(x-3)=0
x≠3 x≠-3
6+10x-30-x²+3x-2x-6=0
x²-11x+30=0
x1+x2=11 x1*x2=30⇒x1=5 U x2=6
7)(6-x)/(3(x-2)(x+2) -1/(x-2) -1/(x-2)=1
(6-x)/(3(x-2)(x+2) -2/(x-2)=1
x≠2 x≠-2
6-x-6x-12-3x²+12=0
3x²+7x-6=0
D=49+72=121
x1=(-7-11)/6=-2-не удов усл
x2=(-7+11)/6=2/3
y≠1
2y²+2y+2+5-5y+12y=0
2y²+9y+7=0
D=81-56=25
y1=(-9-5)/4=-3,5
y2=(-9+5)/4=-1
6)(18z+7)/(z-1)(z²+z+1) -30/(z-1)(z+1)+13/(z²+z+1)=0
z≠1 z≠-1
18z²+18z+7z+7-30z²-30z-30+13z²-13=0
z²-5z-36=0
z1+z2=5 U z1*z2=-36⇒z1=-4 U z2=9
8)6/(x-3)(x+3) +(13-x)/(3+x)-3/(x+3)-2/(x-3)=0
6/(x-3)(x+3) +(10-x)/(3+x)-2/(x-3)=0
x≠3 x≠-3
6+10x-30-x²+3x-2x-6=0
x²-11x+30=0
x1+x2=11 x1*x2=30⇒x1=5 U x2=6
7)(6-x)/(3(x-2)(x+2) -1/(x-2) -1/(x-2)=1
(6-x)/(3(x-2)(x+2) -2/(x-2)=1
x≠2 x≠-2
6-x-6x-12-3x²+12=0
3x²+7x-6=0
D=49+72=121
x1=(-7-11)/6=-2-не удов усл
x2=(-7+11)/6=2/3
Вас заинтересует
2 года назад
2 года назад
8 лет назад
8 лет назад
10 лет назад
10 лет назад
11 лет назад