• Предмет: Алгебра
  • Автор: Ablai97
  • Вопрос задан 10 лет назад

Задания в вкладках.....

Приложения:

Ответы

Ответ дал: Artem112
0
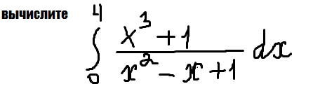
 intlimits^4_0 { frac{x^3+1}{x^2-x+1} } , dx = intlimits^4_0 { frac{(x+1)(x^2-x+1)}{x^2-x+1} } , dx =
 intlimits^4_0 {(x+1) } , dx = (frac{x^2}{2} +x)|^4_0=
\
= (frac{4^2}{2} +4)- (frac{0^2}{2} +0)=8 +4=12
Вас заинтересует