• Предмет: Алгебра
  • Автор: A1la
  • Вопрос задан 11 лет назад

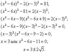
Решите уравнение: (х в квадрате - 6х) в квадрате - 2(х-3) в квадрате = 81

Ответы

Ответ дал: irkarom
0

=================================

 

Приложения:
Вас заинтересует