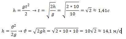
Плавец прыгнул с 10-метровой вышки в воду. Расщитайте скорость вхождения плавца в воду и время пребывания в полете. Сопротивлением воздуха пренебречь.
Ответы
Ответ дал:
0
ниже................
Приложения:

Вас заинтересует
2 года назад
7 лет назад
7 лет назад
10 лет назад
10 лет назад
10 лет назад