• Предмет: Алгебра
  • Автор: andrey256
  • Вопрос задан 10 лет назад

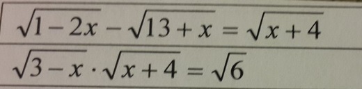
Просто решение ( в одз ( Зведочка ) должен быть указан промежуток)
Заранее благодарю всех,кто хотя бы попытался,темка выдалась трудная :3

Приложения:

Ответа на этот вопрос пока нет. Попробуйте найти его через форму поиска.

Вас заинтересует