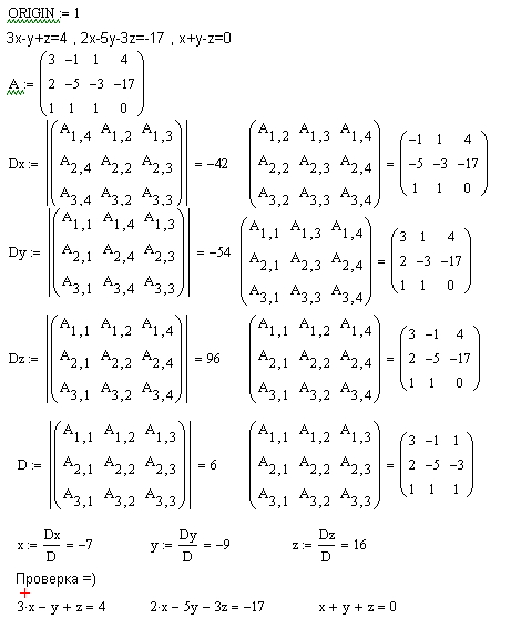
решить заданную систему уравнений ,пользуясь формулами крамера .сделать проверку полученного решения : 3x-y+z=4 , 2x-5y-3z=-17 , x+y-z=0
Ответы
Ответ дал:
0
Вот решил правда надеюсь вы знаете правило по которому находить определитель матрицы ибо я не стал расписывать .
Приложения:

Вас заинтересует
2 года назад
8 лет назад
10 лет назад
10 лет назад
10 лет назад