Ответы
Ответ дал:
0
======================================================
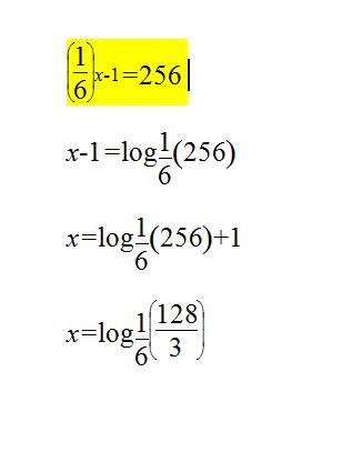
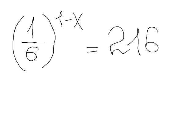
не понятно чему всё таки равно уравнение,поэтому в двух вариантах
Приложения:


Вас заинтересует
2 года назад
2 года назад
8 лет назад
10 лет назад
10 лет назад
10 лет назад