• Предмет: Математика
  • Автор: svetlanadolgush
  • Вопрос задан 10 лет назад

площадь прямоугольника, одна сторона которого 4см, равна 36см2.Найти его периметр.

Ответы

Ответ дал: атиллаа
0
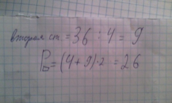
дано:
а=4см
s=36см2
р=?см
1)36:4=9см -сторона В
2)(4+9)*2=26см-периметр
Ответ дал: andruhanec
0
Решение должно быть таким...
Приложения:
Вас заинтересует