• Предмет: Физика
  • Автор: Katrin1302
  • Вопрос задан 10 лет назад

какое выражение позволяет расчитать коэффициент линейного расширения

Ответы

Ответ дал: edinoroshka
0
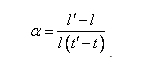
Если под "выражение" вы имели ввиду формулу, то вот она. 
Приложения:
Вас заинтересует