• Предмет: Алгебра
  • Автор: uragood
  • Вопрос задан 11 лет назад

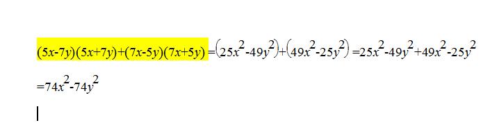
(5x-7y)(5x+7y)+(7x-5y)(7x+5y) упростите выражение

Ответы

Ответ дал: triolana
0

==============================================

Приложения:
Ответ дал: matyuhmila
0

(5х-7у)(5х+7у)+(7х-5у)(7х+5у)=5х  в квадрате - 7у в квадрате +7х в квадрате - 5у в квадрате=13х в 4 степени+2у

Приложения:
Вас заинтересует