• Предмет: Алгебра
  • Автор: yanakonovalova13
  • Вопрос задан 10 лет назад

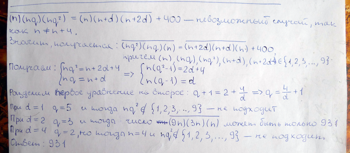
найти трехзначное число если его цифры образуют геометрическую прогрессию а цифры числа меньше данного на 400 арифметическую

Ответы

Ответ дал: flsh
0
См. решение в прикреплённом файле
Приложения:
Вас заинтересует