Ответы
Ответ дал:
0
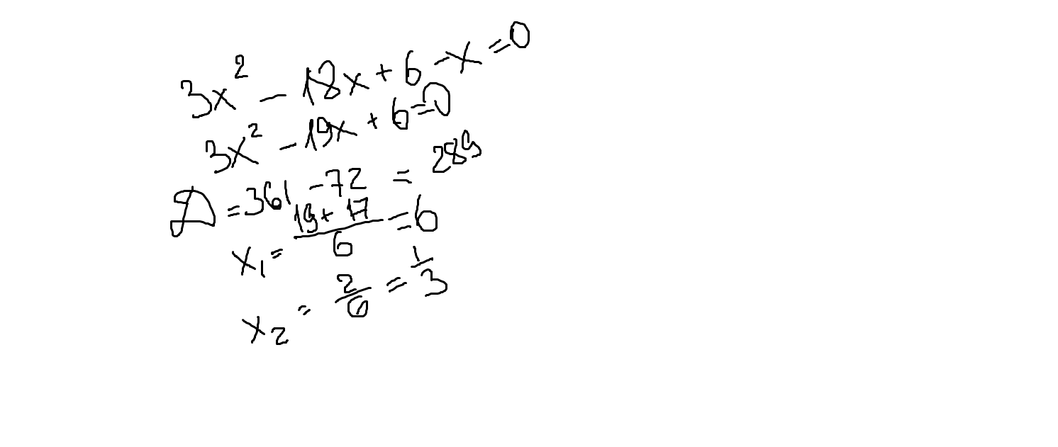
надеюсь понятно :) х1=6 х2=1/3
Приложения:

Ответ дал:
0
3х^2-18х+(6-х)=0
3х(х-6)+(6-х)=0
3х(х-6)-(х-6)=0
(х-6)(3х-1)=0
х-6=0 х=6
3х-1=0 х=1/3
Приложения:

Вас заинтересует
2 года назад
8 лет назад
8 лет назад
10 лет назад
10 лет назад
10 лет назад