Ответы
Ответ дал:
0
==========================================
Приложения:

Ответ дал:
0
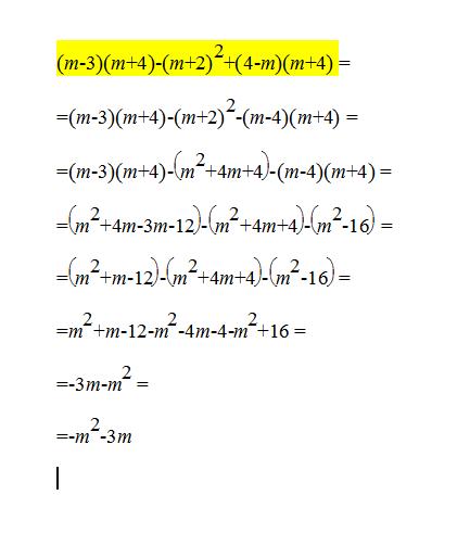
m(в квадрате) +4m - 3m -12 -2m + 4 +4m +16 -m(в квадрате) -4m
-1m +8
Приложения:

Вас заинтересует
2 года назад
2 года назад
8 лет назад
8 лет назад
10 лет назад
10 лет назад