• Предмет: Алгебра
  • Автор: name9111
  • Вопрос задан 11 лет назад

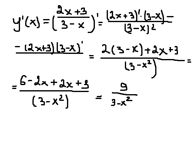
1)Найти производную y=2x+3 / 3-x

 

2) найти f ' (x0),если f(x)=2x-x^2 , x0=4

 

3) Состав. уравнение касательной к графику ф-ии y=3x^2+2x+5 в т. x0=-1

Ответы

Ответ дал: Mariyichka
0

1)Найти производную y=2x+3 / 3-x


Приложения:
Вас заинтересует