Ответы
Ответ дал:
0
почти правильно
и сократить :)

и сократить :)
Ответ дал:
0
Спасибо. Но я все же не понимаю, как тут сокращать. Нужно как-то сложить числитель?
Ответ дал:
0
ничего не складывать, просто зачеркнуть одинаковое :)
Ответ дал:
0
вместо 2nm будет 2 n в квадрате
Ответ дал:
0
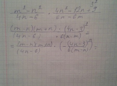
У меня получилось вот так. У тебя есть недочеты, но не отчаивайся)))Удачи)))
Приложения:
Ответ дал:
0
ооо чем вы??? ((((
Ответ дал:
0
полученный результат как у меня должен получится
Вас заинтересует
10 лет назад
11 лет назад