Ответы
Ответ дал:
0
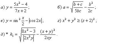
program A;
var x:integer; y:real;
begin
write('Введите значение x;');
readln(x);
y:=(5*sqr(x)-4)/(7*x+2);
writeln('y=',y);
end;
program B;
var b,c:integer; a:real;
begin
write('Введите значение b;');
readln(b);
write('Введите значение c;');
readln(c);
a:=sqrt((b+c)/(5*b*c))-(sqr(b)/(2*c));
writeln('a=',a);
end;
program V;
var x:integer; y:real;
begin
write('Введите значение x;');
readln(x);
y:=(sqr(sin(x/2)))-(abs(cos(2*x)));
writeln('y=',y);
end;
program D;
var x,y:integer; k:real;
begin
write('Введите значение x;');
readln(x);
write('Введите значение y;');
readln(y);
k:=(sqrt((8*sqr(x)-3)/abs(2*sqr(x)*y)))-((sqr(x+y))/(2*x*y));
writeln('k=',k);
end;
var x:integer; y:real;
begin
write('Введите значение x;');
readln(x);
y:=(5*sqr(x)-4)/(7*x+2);
writeln('y=',y);
end;
program B;
var b,c:integer; a:real;
begin
write('Введите значение b;');
readln(b);
write('Введите значение c;');
readln(c);
a:=sqrt((b+c)/(5*b*c))-(sqr(b)/(2*c));
writeln('a=',a);
end;
program V;
var x:integer; y:real;
begin
write('Введите значение x;');
readln(x);
y:=(sqr(sin(x/2)))-(abs(cos(2*x)));
writeln('y=',y);
end;
program D;
var x,y:integer; k:real;
begin
write('Введите значение x;');
readln(x);
write('Введите значение y;');
readln(y);
k:=(sqrt((8*sqr(x)-3)/abs(2*sqr(x)*y)))-((sqr(x+y))/(2*x*y));
writeln('k=',k);
end;
Вас заинтересует
8 лет назад
10 лет назад
10 лет назад
11 лет назад
11 лет назад