• Предмет: Физика
  • Автор: Nadya27
  • Вопрос задан 11 лет назад

период вращения космического корабля вокруг Земли равен 90 мин.Средняя его высота над поверхностью Земли составляет 320 км,радиус Земли-6400 км.Какова линейная скорость космического корабля?

Ответы

Ответ дал: Ксюхель
0

Космический корабль летит над Землей на высоте h и имеет период обращения вокруг земли Т.(1 картинка)

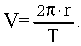
Скорость движения корабля вычислим по формуле (2 картинка)

Радиус орбиты корабля(3)

отсюда(4)

Подставив значения R3, h, Т, получим:(5)

Ответ: V ≈7,8 км/с.

Приложения:
Вас заинтересует