Ответы
Ответ дал:
0
1)
магнитная стрелка должна реагировать на магнитное поле
возле наэлектризованной эбонитовой палочки магнитного поля нет
отклониться магнитная стрелка может только если учесть индуцированный полем эбонитовой палочки заряд на конце стрелки, считаю что магнитная стрелка не почувствует наэлектризованную эбонитовую палочку
2)
протон является ядром атома водорода
у остальных атомов число протонов больше, кроме них добавляются нейтроны
дополнительно - см таблицу менделеева
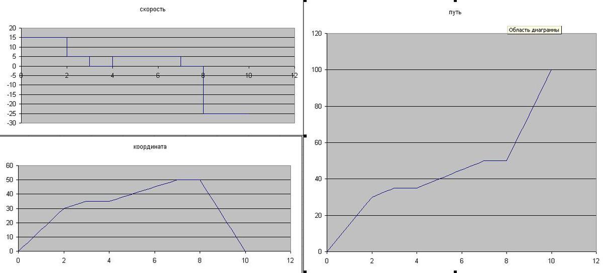
3)
график во вложении 1 и 2, средняя скорость 10 км/час
4)
v-g*t=-v
2v=g*t
v=g*t/3=10*6/2=30 м/с
h=30*3-10*3^2/2=45 м
5)
mv^2/2=mu^2/2+mgh=mgh+mgh=2*mgh
h=v^2/(4g)=10^2/(4*10)=2,5 м
магнитная стрелка должна реагировать на магнитное поле
возле наэлектризованной эбонитовой палочки магнитного поля нет
отклониться магнитная стрелка может только если учесть индуцированный полем эбонитовой палочки заряд на конце стрелки, считаю что магнитная стрелка не почувствует наэлектризованную эбонитовую палочку
2)
протон является ядром атома водорода
у остальных атомов число протонов больше, кроме них добавляются нейтроны
дополнительно - см таблицу менделеева
3)
график во вложении 1 и 2, средняя скорость 10 км/час
4)
v-g*t=-v
2v=g*t
v=g*t/3=10*6/2=30 м/с
h=30*3-10*3^2/2=45 м
5)
mv^2/2=mu^2/2+mgh=mgh+mgh=2*mgh
h=v^2/(4g)=10^2/(4*10)=2,5 м
Приложения:

Ответ дал:
0
Ладно, mu^2/2 что сдесь означает u&
Ответ дал:
0
тоесть u можно и не писать?
Ответ дал:
0
можно написать mv^2/2 = 2* mgh
Вас заинтересует
2 года назад
7 лет назад
7 лет назад
10 лет назад