одномерный массив
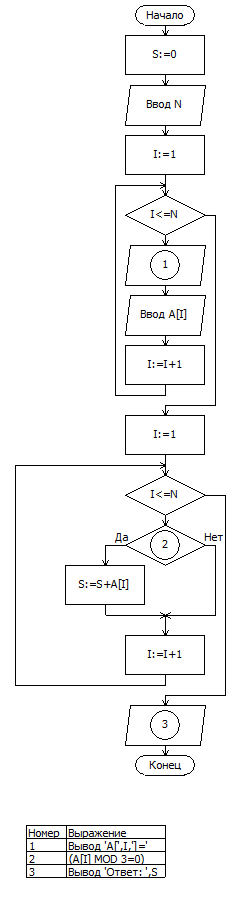
Составьте блок-схему алгоритма и программу вычисления в массиве A(N)
суммы всех чисел, кратных 3.



Ответы

Ответ дал: Andrey05
0
Готово...............................
Приложения:
Вас заинтересует