• Предмет: Алгебра
  • Автор: Аноним
  • Вопрос задан 10 лет назад

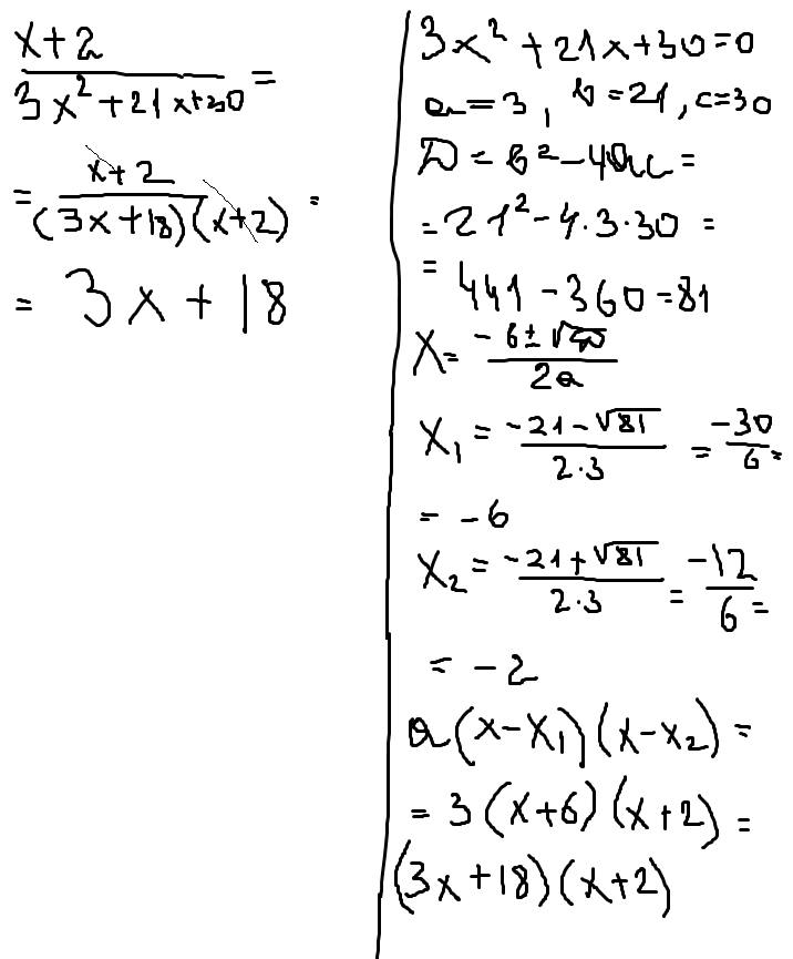
Сократи дробь.Разложение квадратного трёхчлена на множители.x+2/3x^2+21x+30

Ответы

Ответ дал: owlj
0
_______________________________
Приложения:
Вас заинтересует