• Предмет: Физика
  • Автор: Sunny208
  • Вопрос задан 11 лет назад

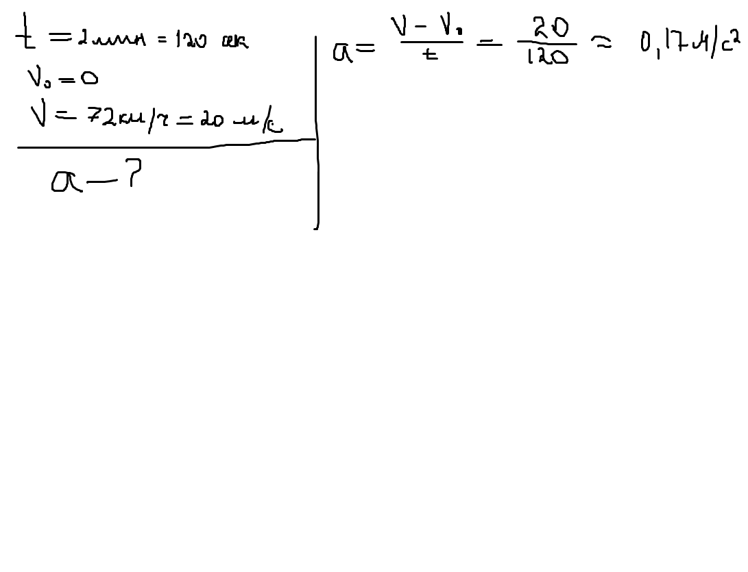
Чему равно ускорение автомобиля, если через 2 мин после начала движения из состояния покоя он приобрел скорость 72 км/ч?

Ответы

Ответ дал: Yaroslav13
0

.........................................

Приложения:
Вас заинтересует