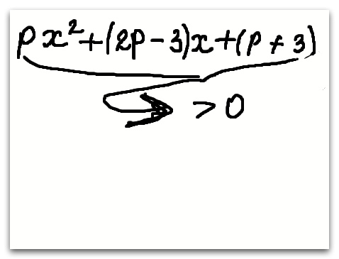
при каких значениях параметра p неравенство верно при всех значениях X? неравенство на картинке. пожалуйста, подробно пишите чтобы я поняла. если что тема - рациональные линейные и квадратные неравенства с одной переменной 9 класс
Приложения:
Ответы
Ответ дал:
0
график функции больше нуля а значит решений нет (дискриминант меньше нуля),но при условии что р>0(иначе пересечение с у=0)...

Вас заинтересует
3 года назад
3 года назад
10 лет назад
10 лет назад
11 лет назад