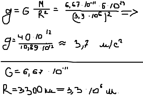
масса марса 6 * 10 23 кг, его радиус 3300км. Вычислите ускорение свободного падения тела на поверхности Марса
Ответы
Ответ дал:
0
М- масса планеты(из дано)
R -радиус планеты(из дано)
G- гравитационная постоянная
g- ускорение свободного падения
Приложения:

Вас заинтересует
2 года назад
2 года назад
8 лет назад
10 лет назад
10 лет назад
10 лет назад