• Предмет: Алгебра
  • Автор: alexandradz
  • Вопрос задан 10 лет назад

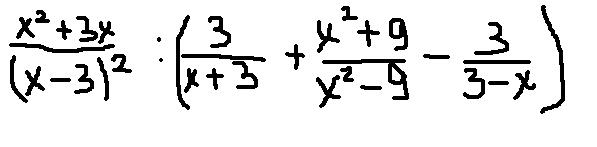
упростите выражение
что-то я запуталась с формулами сокращенного умножения

Приложения:

Ответы

Ответ дал: masharogozina
0
х²+3х       
(х-3)² вроде так получается
Ответ дал: 8286505
0
--------------------------------------------------
Приложения:
Вас заинтересует