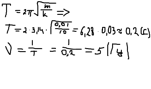
Шарик массой 10 г подвешен к пружине жесткостью 10 Н/м. Определите частоту и период колебаний шарика
Ответы
Ответ дал:
0
k-жесткость пружины
m-масса
π-3,14
Приложения:

Вас заинтересует
2 года назад
2 года назад
8 лет назад
8 лет назад
10 лет назад
10 лет назад