• Предмет: Физика
  • Автор: nastena178
  • Вопрос задан 11 лет назад

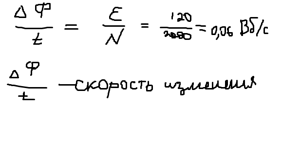
найдите содержание изменения магнитного потока в соленоиде из 2000 витков при возбуждении в нем ЭДС индукции 120 В.

Ответы

Ответ дал: Yaroslav13
0

Если я правильно понял ,то надо найти скорость изменения магнитного потока?

 

тогда все просто:

Приложения:
Вас заинтересует