Ответы
Ответ дал:
0
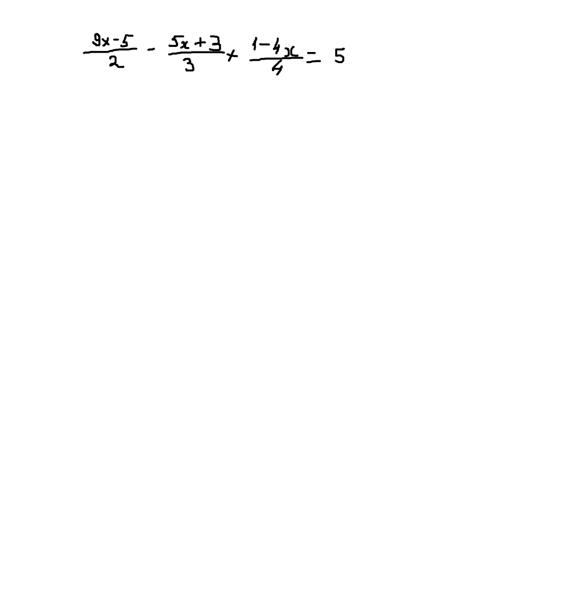
Находим НОК(2,3,4)=12
К каждой дроби добавляем дополнительный множитель 1=6
2=4
3=3
а к числу 5 добавляем 12 следовательно
получаем
54x-30-20x-12+3-12x=60
находим подобные слагаемые
22x=102
x=4 7/11
Ответ:4 7/11
К каждой дроби добавляем дополнительный множитель 1=6
2=4
3=3
а к числу 5 добавляем 12 следовательно
получаем
54x-30-20x-12+3-12x=60
находим подобные слагаемые
22x=102
x=4 7/11
Ответ:4 7/11
Ответ дал:
0
спасибо но неправильно не +12х а -12х
Вас заинтересует
3 года назад
8 лет назад
8 лет назад
10 лет назад