• Предмет: Алгебра
  • Автор: kxe
  • Вопрос задан 10 лет назад

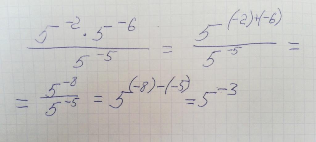
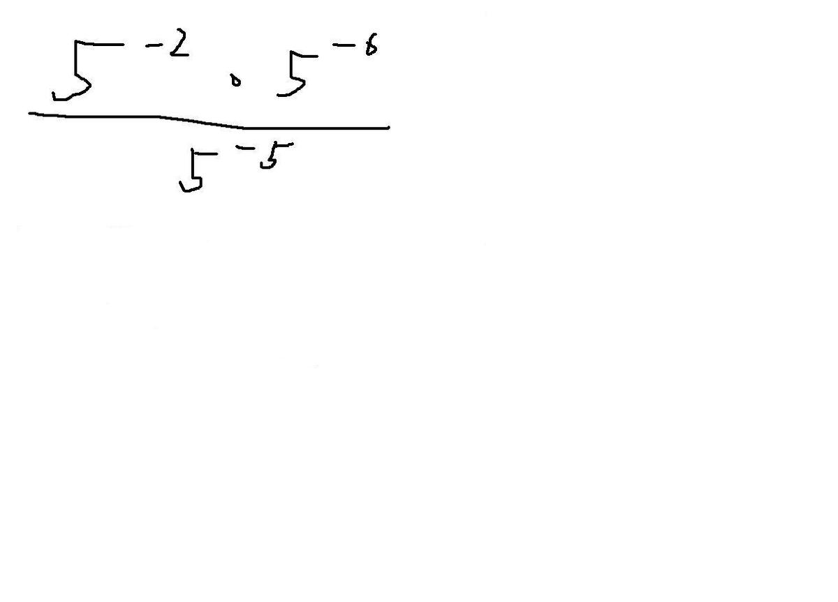
найдите значение выражения

Приложения:

Ответы

Ответ дал: Аноним
0
0,008
(1/25 * 1/15625)/ (1/3125)= (1/ 390625)/(1/3125)= 3125/390625 = 1/125= 0,008
Ответ дал: kxe
0
а как удалить?
Ответ дал: yapelageya1
0
модератор удаляет
Ответ дал: kxe
0
может я новый добавлю?
Ответ дал: yapelageya1
0
попробуй)
Ответ дал: kxe
0
все
Ответ дал: yapelageya1
0
Если такой ответ не прокатит, то так: 5^(-3)=1/5^3=1/125=0,008
Приложения:
Вас заинтересует