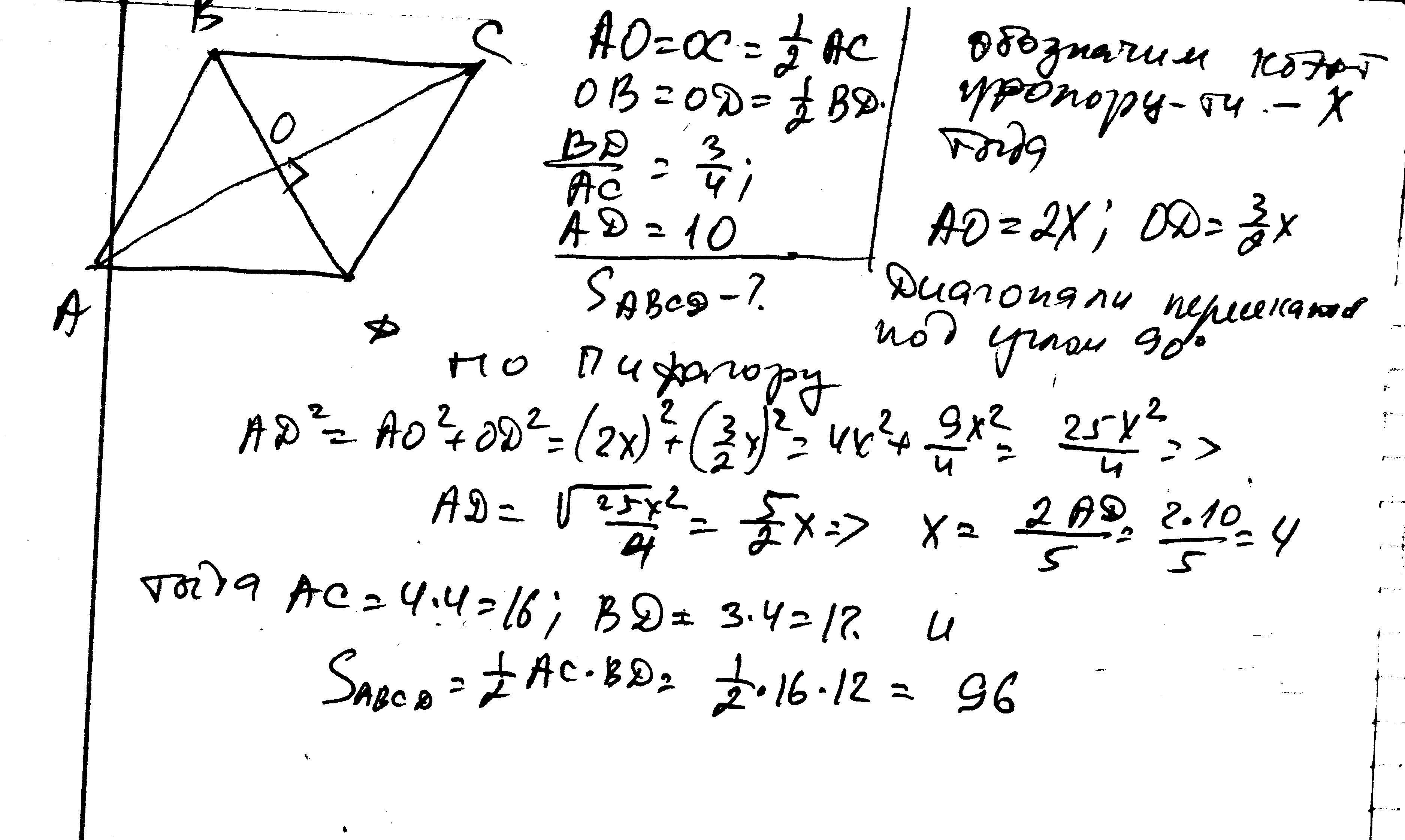
Найти площадь ромба ,если его сторона =10,а диагонали относятся как 3:4 Пожалуйста!!!Буду очень благодарна
Ответы
Ответ дал:
0
решение в скане...........................
Приложения:

Вас заинтересует
2 года назад
8 лет назад
8 лет назад
10 лет назад