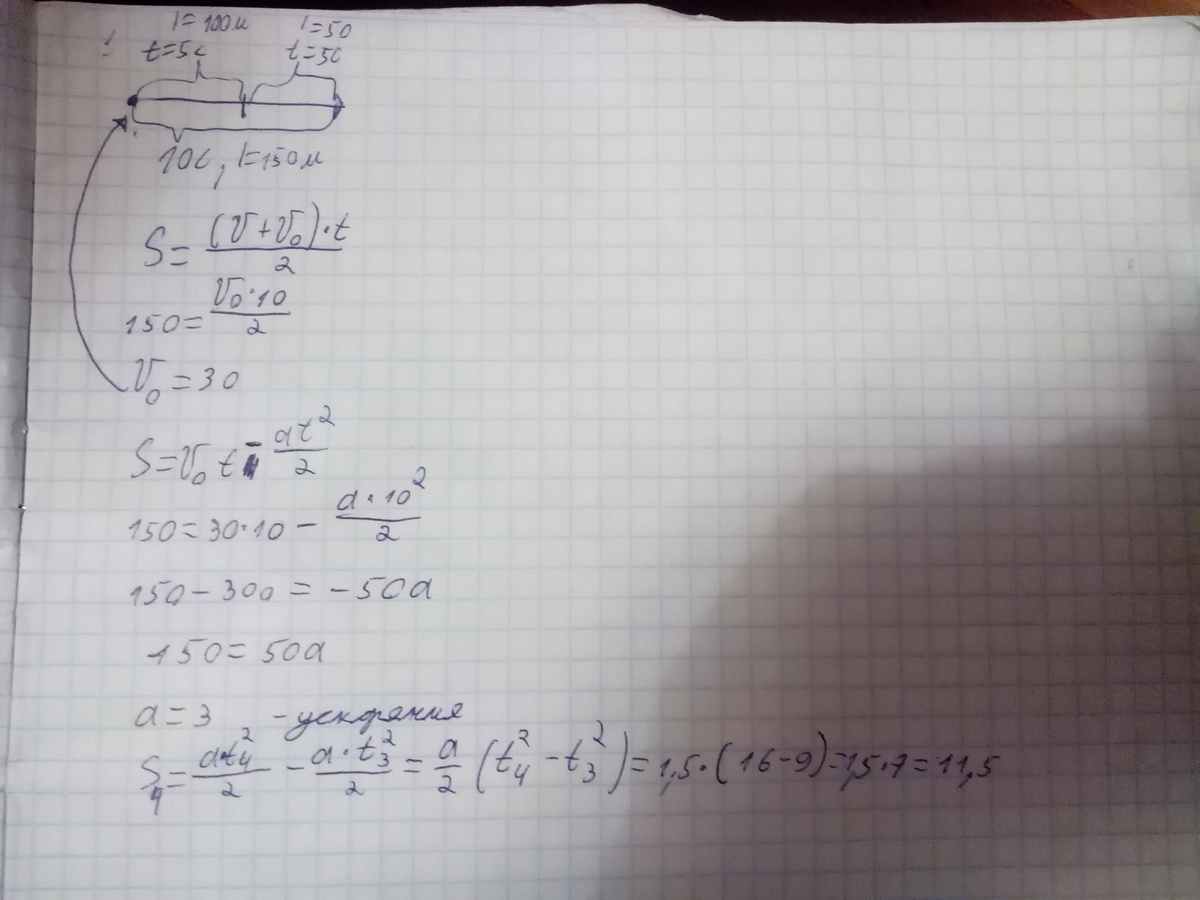
Двигаясь равнозамедленно в течение 10 с, тело прошло за первые 5с l1=100м, а за вторые 5с путь l2=50м. Найти ускорение и путь, пройденный за четвертую секунду
Ответы
Ответ дал:
0
.................................
Приложения:

Ответ дал:
0
пасиб
Ответ дал:
0
а может в ответе не 11, 5 а 115? а то если за 5 с он прошел 150, то за 4 с не может быть 11, 5
Ответ дал:
0
Нет, требуется найти путь пройденный с 3-й по 4-ю секунду
Ответ дал:
0
И за 5 сек он не прошел 150, за первые 5сек он прошел 100м, за вторые 5сек 50м
Ответ дал:
0
Я сделал не большой рисунок, там лучше понятно условие задачи
Вас заинтересует
2 года назад
7 лет назад
7 лет назад
10 лет назад
10 лет назад
10 лет назад